ヘルメット療法歴13年
選りすぐりの専門家が集結した
本物のヘルメット療法を。

赤ちゃんの頭のかたちと乳幼児の運動発達を医師、理学療法士、義肢装具士が連携しワンストップで評価・診療を行っている数少ないクリニックです。

クリニックエントランス

「令和の虎」へのご出演で知られる
株式会社AT代表取締役の津田社長と対談しました


【院内ツアー】港区赤坂 赤ちゃんのあたまのかたちクリニックの中を大公開

【院長Q&A】赤ちゃんの頭の形について私、高松が答えます

MESSAGE

その“ちょっと気になる”が
赤ちゃんからのサインかもしれません。
ママ・パパの気づきに、
私たちは専門的に応えます。

頭のかたち、運動発達、見てるのはあなただけじゃないかもしれません。おじいちゃん、おばあちゃん、保育園や学校でもおや?っと思われてるかも。だからこそ、今できることを一緒に考え、実行しましょう!

「大丈夫かな?」と思ったら、どんな些細なことでも話してみませんか?ご相談だけのご予約も歓迎しています。早めの一歩が、お子様の未来を変えるかもしれません

乳児の頭蓋変形に精通した
医師の診断を受けましょう

赤ちゃんの頭の形の矯正に使用するヘルメットは沢山あります。デザインや重さ、皮膚との相性なども重要ですが、当院では、それぞれのお子様の頭蓋変形の状態や、生活環境にあったものを選べるよう複数の種類のヘルメットを取り扱っています。

ヘルメット治療に進む前にやられることはないか、そもそも変形が病的な原因で生じていないか、これを見極めるのは実は本当に難しいのです。

まずは専門医に相談し、赤ちゃんに見合った適切な治療方法を相談できるよう、当院では執拗なヘルメット治療の勧誘を行わないようにしています。

過度に不安を煽らない
適切な検査と診断

01

義肢装具士による
製作と調整

02

対話を大切にし
納得した治療を

03
ISSUE

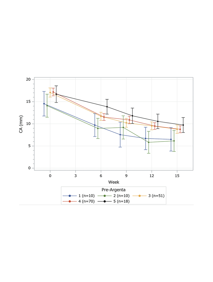
Tsugu W Hikosaka M, Takamatsu A et.al.
J Craniofac Surg.
2025 Jan 9;36(2):531–535. より抜粋

科学的なエビデンスで
開始初期に急速に改善し
その後ゆるやかに変化していくことが
わかっています

ヘルメット治療は「早く安く終わる方がいい」と思いがちですが、実際はそうとは限りません。
あるご家族は「3か月で良くなる」と聞いて特定のヘルメットを選びましたが、重度のゆがみだったため効果が十分に出ないまま終了し、後で後悔されました。

頭の形の改善は最初の1〜2か月で大きく進み、その後の数か月で“仕上げ”が行われます。特に重度の子ほど6〜8か月ほどかけてじっくり整える必要があります。

実際に長く装着されたご家族からは「後半でさらに左右差が整った」「最後は外すのが名残惜しいくらいだった」といった声が多く聞かれます。逆に短期で終了すると「思ったほど整わなかった」と感じる方も少なくありません。

治療期間は赤ちゃんの状態やご家族の希望によって変わります。大切なのは「いつ終わるか」ではなく「どんな形で卒業したいか」。私たちはご家族と一緒に、納得できるゴールを目指したヘルメット治療をご提案しています。

あなたは、ヘルメットを選びたいですか?
それとも、赤ちゃんの頭の形を治してあげたいですか?

ヘルメット治療がファッションのように語られることもある時代。
私たちは医療人として、ご家族に問いかけたいのです。
赤ちゃんの未来のために、本当に必要なことを一緒に考えませんか?
当院では赤ちゃんを大切に思うご家族の方に向けて、
カウンセリングやセカンドオピニオンを実施しています。

「チーム医療」で
一人ひとりの赤ちゃんに
最適な診療を。

赤ちゃんの頭の形のゆがみは単なる“かたちの問題”ではありません。
むきぐせ、体幹の筋緊張や弛緩、発育のスピードなど複合的に考えなければなりません。

だからこそ、当院では医師、看護師、理学療法士、義肢装具士、医療機器メーカーの皆様、そしてクリニックスタッフが連携してお子様に向き合います。

一人の患者様に対して複数の専門医が診察に入ることもしばしば、色んな知見や経験の中から、お子様の特性に合った治療法を常に模索し、実践に移しています。

頭の形外来

院長 高松 亜子

経歴/資格

  • Freie Universitat Berlin 薬物毒物学研究所研究員
  • Universitalier de Bordeaux 形成外科客員医
  • 埼玉医科大学総合医療センター講師
  • 慶應義塾大学医学部形成外科 非常勤講師
  • 国立研究開発法人国立成育医療研究センター勤務
  • 日本形成外科学会認定専門医
  • 日本形成外科学会小児形成外科指導医

医師 高橋 麻由

経歴/資格

  • 産業医科大学病院
  • 関東労災病院
  • 新潟労災病院
  • フランス/パリ ネッカー小児病院
  • フランス/マルセイユ チモーヌ小児病院
  • 京都田辺中央病院
  • まゆ脳神経外科クリニック
  • 日本水頭症学会 評議員
  • 日本小児神経外科学会 評議員・学術研究委員・認定医制度委員会 委員・医療安全委員
  • 日本こども病院神経外科医会 世話人

医師 畑野 麻子

経歴/資格

  • 日本専門医機構認定形成外科専門医
  • 日本形成外科学会再建マイクロサージャリー分野指導医
  • 日本形成外科学会レーザー分野指導医
  • 日本乳房オンコプラスティックサージャリー学会乳房再建用エキスパンダー/インプラント責任医師
  • 日本スポーツ協会公認スポーツドクター

リハビリテーション医・小児科専門医

医師 橋本 圭司

経歴/資格

  • 元国立成育医療センターリハビリテーション科医長
  • 元国立成育医療研究センター 発達評価センター長
  • 日本専門医機構リハビリテーション科専門医
  • 日本リハビリテーション医学会指導医
  • 身体障害者福祉法第15条指定医

医師 杉山 智子

経歴/資格

  • 昭和大学リハビリテーション医学講座
  • ミシガン大学リハビリテーション科
  • 人間総合科学大学小児科学
  • 千葉県立千葉リハビリテーションセンター 小児神経科
  • 日本専門医機構リハビリテーション科専門医
  • 日本リハビリテーション医学会指導医
  • 身体障害者福祉法第15条指定医
  • 日本小児リハビリテーション医学会 評議委員

医師 山内 裕子

経歴/資格

  • 横浜市立大学リハビリ科
  • よこはま港南地域療育センター長
  • 小児科専門医
  • リハビリテーション科専門医
  • 15条指定医
  • 義肢装具判定医

皮膚科医・理学療法士(乳児専門)

医師 矢島 麻弓

経歴/資格

  • 皮膚科外来担当医

理学療法士 井上 彩

経歴/資格

  • 元国立成育医療研究センター
  • 元東京都立小児総合医療センター
    理学療法士
  • 保育士
  • 呼吸療法認定士

専門家の知見を結集し
赤ちゃんの今の状態を「見える化」します

赤ちゃんの頭の形は単なる“かたちの問題”ではありません。
向き癖などの習慣や、赤ちゃんの発達のタイミングとも深く関わっています。

だからこそ当院では医師、看護師、理学療法士、義肢装具士、医療機器メーカーの皆様、そしてクリニックスタッフが連携して、偏った視点にならない診療、治療計画の立案、実践しています。

誤診や過剰な治療にならないよう適切な判断を行い、赤ちゃんの頭蓋変形を見える化していきます。ただし、単なる計測データだけにとらわれず、ママやパパの気になるところ、当院として気になる部分について話込を行うことも重要であると考えています。

症例紹介

Case

短頭のお子さんの症例

治療前

治療後

治療前後の比較

患者概要

  • 月齢・性別 ヘルメット装着時4ヶ月 卒業時 10か月 男子
  • 主訴 右の向き癖、頭の形のゆがみ、身体の左右差 検診で医師から自然には治らない形だと言われ来院
  • 診断 超重度の短頭症Argenta type VIc、CA(左右差) 1mm、CI(頭指数)104.6%、縦型発育 後頭部の扁平++、X-P上疾病起因の所見なし
  • 治療内容 重度の短頭あり、プロモメットによるヘルメット矯正療法を選択
  • 治療期間 25週間(6か月間)
  • 治療のリスク アトピーの既往診断あり 皮膚科医によるケア指導、軟膏処方により悪化せず管理
  • 治療後の程度 想定通りの改善が見られた、Argenta 0、CA(左右差) 0mm、CI(頭指数)91.4%、左右差、後頭部の扁平共に改善、卒業スキャン実施
  • 治療費用 初診時にヘルメット治療選択、初診・再診料込595,000円(消費税10%込)

長斜頭のお子さんの症例

治療前

治療後

治療前後の比較

患者概要

  • 年齢・性別 ヘルメット装着時4ヶ月 卒業時 10か月 男子
  • 主訴 右の向き癖、頭の形のゆがみ、身体の左右差 検診で医師から自然には治らない形だと言われ来院
  • 診断 重度の右斜頭症、Argenta type I+II+III+V、CA(左右差) 13mm、CI(頭指数)  80%、タイプVの変形があり、自然改善しにくいタイプ、X-P上疾病起因の所見なし、発達評価は4か月相当
  • 治療内容 重度の斜頭あり、プロモメットによるヘルメット矯正療法を選択。アトピーの既往診断あり、当院皮膚科医によるケア指導、投薬によりヘルメット装着による皮膚の炎症の防止、軽減しながら装着継続
  • 治療のリスク アトピーの既往診断あり 皮膚科医によるケア指導、軟膏処方により悪化せず管理
  • 治療期間 28週間(7か月間) 初診~終診まで9回通院
  • 治療後の程度 想定通りの改善が見られた。Argenta 0、CA(左右差) 2mm、CI(頭指数)80%、左右差大幅に改善、卒業スキャン実施
  • 治療費用 初診時にヘルメット治療選択。595,000円(初診料・再診料・調整費用・税込み)+100円(皮膚治療材料費)

お子様に最適な
ヘルメットを製作いたします。

プロモメット

株式会社山口補装具の提供しているヘルメットです。医師と義肢装具士が作製するフルオーダーメイドのヘルメットです。院内調整も可能。成育医療センターでも使用されているヘルメットです。

リモベビーミシガン
(旧ミシガン頭蓋形状矯正ヘルメット)

グンゼメディカル株式会社の提供しているヘルメット。アメリカFDAでも認可されているヘルメット治療の元祖と呼べるヘルメットです。

リモベビー
(ReMO baby®)

グンゼメディカル株式会社の提供しているヘルメット。医師と義肢装具士が作製するフルオーダーメイドのヘルメットです。院内調整も可能。

ベビーバンド
(Baby Band)

株式会社Berryの柄がかわいいヘルメット。インナーが外せて丸洗いができ、義装具士の調整が不要なタイプです。同社のオンラインサポートに対応しています。

大切な赤ちゃんのためにも
「医療」の側面から正しい治療を

私たちが目指すゴールは、単なる頭蓋形状の改善にとどまらず、赤ちゃん一人ひとりの発達と未来のQOL(生活の質)を高めることにあります。
医学的正確さに基づいた「適切な評価と判断」、赤ちゃんの「頭のかたち」と「育ち」の両方を支える医療を提供し、保護者の不安に寄り添いながら、共に「迷わず進める医療」を目指しています。
「様子を見ましょう」で終わらせず、「どう見守るか」まで一緒に考えるクリニックですので、是非ご相談にいらしてください。

“頭のかたち”だけではなく、
赤ちゃんの「成長」に
寄り添う医療を。

赤ちゃんの頭のかたちが気になる背景には、
向き癖・偏った寝返りなど、発達に関わる問題が影響していることがあります。

当院では、頭の形だけに着目するのではなく、
うつ伏せ・寝返り・おすわり・ハイハイなど、成長全体を正しく支えることで、本質的な改善につなげる「神経運動発達外来」を設けています。

実際に行っていること

  • 乳児専門の理学療法士による姿勢や動きの評価・トレーニング
  • リハビリテーション専門医・小児科専門医による発達の医学的診断
  • 向き癖・姿勢の偏りに合わせた家庭での関わり方の指導
  • ヘルメット治療の有無にかかわらず、リハビリテーションや、インソールなどお子様の成長・発達をサポート

ヘルメット治療ありきではなく、
赤ちゃんのすこやかな成長を見守る医療体制を整えています

向き癖や寝返りなど、ややもすれば見逃されてしまいがちなささいなことも、実はその後の赤ちゃんの発達や頭の形に大きな影響を与えます。
医師である先生方も現在は専門化、細分化が進み、必ずしも乳幼児の発達や頭蓋変形について深い知識をお持ちでない方もいらっしゃるかもしれません。

あとで、「あのときこうしておけばよかった」と後悔する前に、少しでも迷ったら専門家に相談しましょう。

赤ちゃんのことを本気で考えるご家族のために

赤ちゃんの頭のかたち、気になるけれど、誰にどう聞けばいいのか。
原因がはっきりしない、夫婦で意見が合わない、自分のせいかと感じてしまう…。
そんなときこそ、私たちがいます。

ご家族の思いを丁寧に受けとめ、今できることを一緒に考えます。
他院での説明がしっくりこなかった方のセカンドオピニオンも受け付けています。

STEP1|ご予約(オンラインまたはお電話)

Web予約・お電話から、診療相談のご予約が可能です。
赤ちゃんの月齢・お悩み・希望される相談内容などをご記入ください。

STEP2|初診カウンセリング・診察

医師による頭部・発達の診察とカウンセリングを行います。
3Dスキャンや動きのチェックなど、必要に応じた検査も実施します。

STEP3|治療方針のご提案

診断結果をもとに、ヘルメット治療 or 発達支援を含めた最適な方針をご提案します。もちろん、必要がないと判断された場合は無理な治療は行いません。

STEP4|治療スタート/経過サポート

治療開始後も、医師・理学療法士・義肢装具士、ヘルメット製作会社の皆様がチームで継続的にサポートします。ヘルメットの調整や、成長に合わせた支援も行っていきます。

よくあるご質問にお答えします

初めてのご相談にあたって、よくいただくご質問をまとめました。
詳細は当院ホームページでもご覧いただけます。

Q.ヘルメット治療は、いつまでに始めたほうがよいですか?

A.一般的には生後4~6ヶ月頃が最も適した開始時期とされますが、頭のかたちや発達の状況によって異なります。まずは診察で必要性を見極めたうえで、タイミングをご提案します。

Q.治療は必ずヘルメットが必要になりますか?

A.必ずしも必要ではありません。向き癖や発達支援などヘルメットを使わない選択肢もあります。診断結果に基づいて、過不足のない方法をご案内いたします。

Q.発達の遅れや気になる動きについても相談できますか?

A.はい。理学療法士・小児科専門医・リハビリ医がチームで対応し、発達状況を評価した上で、必要に応じた支援をご提案します。

Q.自由診療と聞きましたが、費用が心配です。

費用については初診時にしっかりとご説明し、ご納得いただいた上で進めていきます。まずは診療相談やセカンドオピニオンからでもご予約は可能です。

治療費用について

ヘルメット療法

初診料

税込16,000円

再診料

税込10,000円

※以下「必ずお読みください」
をご参照ください。

プロモメットAコース

  • 2ヘルメット
  • 発達サポート4回

税込1,100,000円

プロモメットBコース

  • 2ヘルメット

税込990,000円

プロモメットCコース

  • 1ヘルメット

税込595,000円

リモベビーミシガン
(旧ミシガン頭蓋形状矯正ヘルメット)

  • 1ヘルメット

税込595,000円

ReMO baby

  • 1ヘルメット

税込595,000円

Baby Band
(ベビーバンド)

  • 1ヘルメット

税込440,000円

乳幼児発達サポート

初回おためし30分コース

税込9,900円

2回目以降(30分コース)

税込18,000円 / 1回

2回目以降(60分コース)

税込33,000円 / 1回

4回セット

税込118,800円

必ずお読みください

初診料・再診料の
取り扱いについて

  • 頭の形外来
    初診料 16,000円・・・①
  • 発達サポート
    初回おためし 9,900円・・・②
    2回目以降 30分 1回に付 18,000円
    2回目以降 60分 1回に付 33,000円

ヘルメット療法費用に含まれるもの

  • 以下の費用はヘルメット治療・療法費用に含まれています。
  • 初診時にヘルメットを申し込まれた場合の初診料と以降のヘルメット外来初診料および再診料8回分
  • 再診時にヘルメットを申し込まれた場合の申込日の再診料と以降のヘルメット外来初診料および再診料8回分
  • ヘルメットを申し込まれた日に行ったレントゲン検査、超音波検査、3Dスキャン
  • ヘルメット調整、加工費用
  • ヘルメット卒業時の下肢荷重バランス計測体験料

ベビーバンドの注意事項

ベビーバンドは、当院で取り扱っている他の3つのヘルメットとは異なるステップを踏みます。新しいヘルメットなので、ヘルメット治療の流れについては、ヘルメットの選択時に詳細をお話いたします。

※お電話でのご質問は、他の患者さんのお電話が受けられなくなってしまうため、お断りしています。詳細をお聞きになりたい方は、ご予約の上、診察をお受けください。(ヘルメット治療は強制ではありませんので、ご安心ください。)

ベビーバンドの特徴や流れなどは、取り扱い会社の株式会社Berryのホームページをご覧ください。

お支払い方法

金 / 銀行振込 / クレジットカード(VISA・MasterCard・JCB・American Express・Diners)
上記の支払い方法に対応しております。

アクセス

ベビーカーでお越しの方は、赤坂見附駅をおすすめします。地上出口までエレベーターがあり便利です。

© 2025 ATAMA NO KATACHI CLINIC. all rights reserved.